FREQUENTLY ASKED QUESTIONS
INSTALLATION QUERIES
Installation problems are relatively rare. They are usually caused by support components not being installed correctly, due to system-wide security problems.
Unable to save file during installtion
"You receive an error message when running the FACSIMILE installer:
Unable to save file: C:\Windows\Download Installations ... Windows4.msi. The system cannot find the path specified.."
ANSWER
The installer must be run as an administrator. However, being logged in as an administrator does not cause the installer to be run with administrator privileges. You must explicitly run it as an administrator.
To run the installer as an administrator, go to where InstallFac4V.exe has been downloaded (usually your Download directory), right click the installer and select “Run as Administrator.”
MISSING COMPONENTS
"FACSIMILE has shown an error referring to a missing component, when first started or when I am running a model. The components are .dll or .ocx files. For example ComDlg32.ocx, richtx32.ocx, MPIWIN32.dll, SizerOne.ocx. These files are located in C:\Windows\SysWOW64."
ANSWER
The first response to this should be uninstall FACSIMILE completely and restart the installation. If you have already registered FACSIMILE, then providing it is installed in the same folder, and the license file is not deleted, you will not need to re-register.
To reinstall FACSIMILE and maintain the license file follow these steps:
- Uninstall FACSIMILE using Control Panel (uninstall a program).
- Do not delete any files or make changes to your FACSIMILE folder.
- Reboot your system.
- Reinstall FACSIMILE into the same folder. (Note: You should not copy your license file into this folder.)
- FACSIMILE should now work normally.
If this doesn’t work you can try manually installing the missing component.
This answer is for the component comdlg32.ocx. (For a different component you need modify steps 4, 5 and 6. For example, for mpiwin32.dll, in step 4 replace dir com* with dir mpi* and all references to COMDLG32.ocx with mpiwin32.dll. Note also in step 2 it is critically important to click “run As Administrator”, as it won’t work without admin privilege.)
If it appears that this component is not correctly registered for some reason, we suggest you try registering it manually with the following steps:
1. From the Start menu scroll down to the Windows System section and expand it.
2. Find Command Prompt, right-click it, click more, and click Run As Administrator. Then answer Yes to the prompt.
3. Enter the following commands in the command prompt window.
4. Change to the system folder by entering cd \windows\SysWOW64. Check you are in the correct folder by entering dir com* you should see COMDLG32.OCX in the list.
5. Enter the following command regsvr32 –u COMDLG32.OCX
If you get an error here just ignore it (this is just to make sure the registry entry isn’t present).
6. Now enter the command regsvr32 COMDLG32.OCX
If all is well you should get a success message.
If this does not work, it is is because your system admin has set up the system to disable 32bit applications.
This software installs correctly on a regular Windows installation (Vista, Win7, Win8 and Win10).
Some aspect of your installation of Windows is preventing the software from running correctly. This could be some security to control USB access or something similar. In any case, you would need to check with your IT people to determine why the system does not respond as a regular Windows installation.
DONGLES
"After I install a dongle, running the program gives an error message: 'attach valid dongle'."
ANSWER
Check the dongle is attached correctly. If not working,check that the driver for the dongle is installed correctly. You can fix this by installing it manually using these steps:
- From the Start Menu expand the Windows System section.
- Right-Click the Command Prompt entry.
- In the pop-up menu click "More".
- In the next menu click "Run as Administrator" (enter administrator password if requested). The command window appears
- Navigate to your FACSIMILE folder by typing "cd \Facsimile4" (replacing \Facsimile4 with the correct path if different from above).
- Type the command.
- Install Driver. When the command prompt returns the driver is installed.
LICENSING QUERIES
DEMO PERIOD EXPIRY
"I have waited too long to install my software, and the demo license has expired. Do I need a new license, or can I still activate the current one ?"
ANSWER
The license file is supplied with a temporary activation as a courtesy to users, to allow them to use the application as soon as they download it. If you choose to install it at a later date you will simply need to permanently activate the license before you can use the software. (Note: once the temporary period has expired, most of the menu items will be inactive when you start the application; however, the help menu required to activate the license will still work.)
REINSTALL IN NEW LOCATION
"Can I reinstall the program in a new location, with no license file ?"
ANSWER
You don’t need to be sent a replacement license file, unless you have completely destroyed your original installation.
a) You can always use a copy of the license from a previous installation. You can just activate the license for the new installation with a trigger code.
b) If you remove the FACSIMILE installation with Add/Remove Programs, the license file remains in the installation folder.
TRIGGER CODE APPLICATION
"Can I apply for a trigger code, without saving a license file in the Facsimile folder ?"
In order to generate the licensing information you need to save the license file (Facsimile4.lf) into your FACSIMILE folder. The license file will have been sent to you by email.
You can also use a copy of the license file from another installation on your site belonging to the same license holder. Please do not modify the text generated by "Get registration details" as this could result in incorrect trigger codes being supplied.
The solution is to save a license file in the FACSIMILE installation folder (normally C:\Facsimile4).
You need to be sure to have saved it in the right folder - specifically the folder containing Facsimile42.exe.
If the problem persists, the license system may be corrupted in some way.
The first thing to try is to remove and reinstall FACSIMILE (using add/remove programs). This will not remove the license file and, providing you install to the same folder, the license will still be valid. If you still have problems we would suspect the license file is corrupt so we will send a replacement file.
TRIGGER REGISTRATION DATA
"Can I use the same trigger code registration data from an old license?"
FACSIMILE is licensed on a per cpu basis, and the trigger code is unique for each licensing transaction. Please follow the license activation procedure. These are the codes you need to register FACSIMILE. You need to generate the codes again (from registration menu > get registration details). The CEN is unique for each transaction.
TRIIGER CODE FAIL
"My trigger code did not work ?"
1. In Windows Explorer go to your FACSIMILE folder and right-click the file "Facsimile42.lf". Select "Properties" and make sure the "Read only" and "hidden" boxes are unchecked.
2. Start FACSIMILE and go to menu item Help > Registration menu > Get Registration Details. Make a note of the Code Entry Number displayed (you may have to scroll down in the text box to see the CEN entry).
3. Close FACSIMILE and restart Windows.
4. Repeat step 2.
5. If the code entry number is the same in step 2 and 4 proceed to apply for a trigger code as normal. If not contact support for an alternative procedure.
FACSIMILE MODEL QUERIES
RUNNING MCM MODELS
"the model stopped, no output - see error message below"
!!!!! NAME TABLE FULL, TOO MANY NAMES
COMPILATION CANNOT PROCEED
INCREASE NAMES SIZE
!!!!! IRRECOVERABLE ERROR - STOPPING
With the out of the box settings, FACSIMILE will generally not run MCM.
The settings recommended for MCM are:
NPARS=8000000
NINTS=10000000
NCODE=1000000
NAMES=8000
NTEXT=200000
MATSZ=500
NCURV=500
NVARY=100
NOBSM=1000
NPTTN=6000000
You need to increase the workspace from the default settings to run the MCM-type models. If you inspect the log files you will see messages to this effect. The easiest way to rectify this is to set larger workspace sizes for loading models. With these steps:
1. Start FACSIMILE.
2. From the Options menu choose Modify Startup Profile.
3. Select the Workspace Sizes
tab.
4. In the Stored Workspace Set
dialog select Large Models.
5. Click Load settings from workspace set.
6. Click Apply.
For models you have already opened you should follow these steps for each model:
1. Start FACSIMILE and open your model.
2. From the Options menu choose Modify Project Profile.
3. Select the Workspace Sizes
tab.
4. In the Stored Workspace Set
dialog select Large Models.
5. Click Load settings from workspace set.
6. Click Apply.
Your models should now run correctly.
You should also ensure that you are running the correct integration engine:
1. Start FACSIMILE.
2. From the Options
menu select Advanced
and then FACSIMILE engines.
3. In the Engine Type
box select Compaq©.
4. In the FACSIMILE Engine Sizes
box select Large.
5. Click Set as default.
For each model you have previously loaded you will need to open the model and repeat steps 2 to 4 above, and then in step 5 click OK.
You could also check that you have the correct settings, and the instructions for this are:-
At the top of the log file (ModelName.log in the same folder as the model) you will find an entry like this:
ARRAY SIZES REQUESTED -
INTEGER 17053538, DOUBLE 8003620, REAL 5000, CHARACTER 440728
***** MAXIMUM ARRAY SIZES
** NPARS 8000000 REAL SCALARS, ARRAYS, AND WORKSPACE
** NINTS 10000000 INTEGER SCALARS, ARRAYS AND WORKSPACE
** NCODE 1000000 LOCATIONS FOR CODE
** NAMES 8000 ENTRIES IN DICTIONARY
** NTEXT 200000 LOCATIONS FOR TEXT (INCLUDING NAMES)
** MATSZ 500 MATRIX FOR INVERT OR SOLVE
** NCURV 500 DATA CURVES
** NVARY 100 VARIED PARAMETERS
** NOBSM 1000 OBSERVED VALUES
** NPTTN 6000000 SPARSITY PATTERN WORKSPACE
***** END OF LIST OF SIZES
Please check these sizes, or send a copy of this to support.
If you have issues with this it is advisable to make sure you are checking the correct values.
It is possible if you have messed up the model, for FACSIMILE to crash before it creates the log file, and if this happens a log file from a previous run may still be in place. In this case, delete the log file manually in Win Explorer before making the run.
ALTERNATIVELY you can get the array sizes like this:
1. Start FACSIMILE and open your model.
2. From the Options menu choose Modify Project Profile.
3. Select the Workspace Sizes
tab.
4. The sizes used for the model are displayed in the table.
This may be useful if you don't want to set global values.
TIP. Once your model runs correctly.
- Open the Workspace Sizes tab again.
- Type a label (such as MCM) in the text area towards the bottom of the page (labelled Stored Workspace Set).
- Click [Save these settings as workspace set].
- With future models loaded you will be able to select your label from the dropdown list and click [Load settings from workspace set].
- Then click "Apply" to set the parameters.
RANDOM FUNCTION
"Tell me about random number generation"
There is no real random number generator in the FACSIMILE modelling language. We have a pseudo-random generator function called RANDOM but it will always produce the same sequence from a given seed. For your information, it is illustrated in the attached model. Calling RANDOM with a real argument >1.0 will seed the generator (only the integer part of the real is significant) calling with any number between 0 and 1.0 produces the next random number.
rndtest.fac
EXECUTE OPEN 8 "rndm.out" ;
PARAMETER DUMMY x ;
COMPILE INSTANT;
* Set seed number for random number generator(>1.0) ;
DUMMY=RANDOM(5.0);
WRITE 1=8, "Seed number is 5.0 " %;
DO 1 FOR #4 = 0 (1) 10;
x=RANDOM(0.5);
WRITE 1=8,"Random number ",(F10,8),x %;
LABEL 1;
* Set seed number for random number generator(>1.0) ;
DUMMY=RANDOM(2.0);
WRITE 1=8,% "Seed number is 2.0 " %;
DO 2 FOR #4 = 0 (1) 10;
x=RANDOM(0.5);
WRITE 1=8,"Random number ",(F10,8),x %;
LABEL 2;
* Set seed number for random number generator (>1.0) ;
DUMMY=RANDOM(5.0);
WRITE 1=8,% "Seed number is 5.0 " %;
DO 3 FOR #4 = 0 (1) 10;
x=RANDOM(0.3);
WRITE 1=8,"Random number ",(F10,8),x %;
LABEL 3;
* Set seed number for random number generator (>1.0) ;
DUMMY=RANDOM(25.0);
WRITE 1=8,% "Seed number is 25.0 " %;
DO 4 FOR #4 = 0 (1) 10;
x=RANDOM(0.5);
WRITE 1=8,"Random number ",(F10,8),x %;
LABEL 4;
**;
STOP;
VARIABLES AND PARAMETERS
"Tell me about FACSIMILE variables"
FACSIMILE VARIABLES are the only objects that are involved in the integration process and therefore the only objects that can have derivatives. You can’t get the derivative of a PARAMETER B because it hasn’t got one. That only applies if you are using parameter in the FACSIMILE sense, rather than the mathematical sense.
The derivative of a FACSIMILE VARIABLE is denoted by proceeding the name with a single quote mark. The derivative of A is ‘A. This notation can be used both to access the value of the derivative and to assign a value. The reaction A –k-> B can be written in block EQUATIONS using either chemical notation:
% k : A = B;
Or using derivative notation:
‘A= -k*A;
‘B=k*A;
You can use both types of notation in an EQUATIONS block.
The model files below, illustrate using the two types of notation and also accessing the value of a derivative:
Model A
VARIABLE A B ;
PARAMETER k DT;
COMPILE INITIAL;
* Set initial amount of A;
A=10;
*Set rate constant for A -> B ;
k=5;
**;
COMPILE EQUATIONS;
% k : A = B;
**;
SETPSTREAM 1 6;
TIME A B DT;
**;
COMPILE OUT;
* assign derivative of A to parameter DT;
DT='A;
*Call PSTREAM;
PSTREAM 1;
**;
WHENEVER TIME=20 * (+0.01) 0 % CALL OUT;
**;
BEGIN;
STOP;
Model B
VARIABLE A B ;
PARAMETER k DT;
COMPILE INITIAL;
* Set initial amount of A;
A=10;
*Set rate constant for A -> B ;
k=5;
**;
COMPILE EQUATIONS;
'A=-k*A;
'B=k*A;
**;
SETPSTREAM 1 6;
TIME A B DT;
**;
COMPILE OUT;
* assign derivative of A to parameter DT;
DT='A;
*Call PSTREAM;
PSTREAM 1;
**;
WHENEVER TIME=20 * (+0.01) 0 % CALL OUT;
**;
BEGIN;
STOP;
You can only change the value of Variables (i.e. items involved in the integration process) in block EQUATIONS.
DISCONTINUITIES
"My model has suddenly stopped"
If you have issues where the model suddenly terminates, a common cause of this is users changing the value of a variable in a block other than equations, and this either causes the integrator to fail gracefully (with error saying it can’t continue), or to crash.
You can only change the value of Variables (i.e. items involved in the integration process) in block EQUATIONS.
The FACSIMILE integrator uses a predictor/corrector method to perform the integration. Clearly a step change in any variable during integration process, would produce a discontinuity which would cause the integration process to fail.
If you need to do this you need to restart the integration process using ADD or RESTART. See Chapter 4 of the Technical Reference (techref.pdf).
INTEGRATOR CRASH
"Model runs, but creates no results or shows an incomplete log file"
There is a variation of this where the user reports the model gives the same results when changes have been made to the model. This is caused by the integrator crashing before it can write any files, so the output from a previous run are left in the folder.
In this case you need to check the log, as it will be incomplete.
An incomplete log doesn’t end with lines similar to this:
!!!!! COMMAND INTERPRETER RE-ENTERED
STOP;
!!!!! STOP
TIME 3.0000000E+01 TCPU 0.03 0.03
STP 10633 TRY 10727 DER 17096 JAC 180 LUD 1980 RST 60
MAXIMUM SPACE REQUIREMENTS -
NAMES 58, INTS 279, REALS 583, CODE 234, VBLS 6
This is a problem with the integrator engine crashing. For reasons of efficiency (there are millions of arithmetic operations in even a simple simulation), the integrator has minimal error checking to shorten run times. This means that numerical errors in the problem will sometimes cause the integrator code to terminate with an exception.
By their nature, FACSIMILE problems tend to be ill-conditioned. Because the underlying process is solving a sparse matrix, some problems will run into numerical difficulties resulting in the integrator terminating due to underflow errors. The fact that the behaviour of your model is modified by changes in "Variable" or "Parameter" values, suggests that your model is on the edge of such a numerical failure.
However, by default, FACSIMILE uses the runtime from an older FORTRAN implementation, for backward compatibility reasons. There is some evidence that this runtime is not as robust with modern processors. We now recommend that the more modern runtime is used on the latest processors. Changing to the more modern integration engine may well solve your problem. "Setting the FACSIMILE Integration Engine.pdf" gives details of how to make this change.
You can also get reports of floating point errors.
This is the result of a numerical fault in your model which has caused the integration engine to crash. Amongst the faults which can cause this are circular dependencies (i.e. the value of A depends on the value of B, which in turn depends on the value of A) and dividing by zero (such as using a variable or parameter in an expression before it has been defined a value).
The way to solve this is as follows:
1. Return to a version of the model which did not display this fault.
2. Introduce your changes as gradually as possible in order to identify which changes cause the problem.
3. Analyse the changes to identify the numerical problem and correct the error. Look carefully at calculated values at time zero and large values of time.
MODEL GIVES WRONG ANSWER
"Model runs, however the appears to be incorrect"
FACSIMILE simply solves a system of differential equations.
If the results are not consistent or as expected, it means that your model is incorrect in some way.
This may be due to an incomplete description of the problem, or to errors in the equations or rate functions.
The only solution to this is a careful analysis of your model and it’s values. It is sometimes easier to do this by breaking your model into small models, to test subsets of your equations are behaving as expected.
MODEL CRASHING
"The model crashes when it is opened"
If you click the “Open Model” button, select your model then click “Open”, and you get an error message. A crucial clue to how to diagnose this is, does this happen with other models?
If you don’t have another model, try the simple model hello.fac
at the end of this message.
If the error occurs with other models, then he fault is probably a corruption of the FACSIMILE software. The solution to this would normally be to reinstall the software. If that doesn’t work, and as we know the software was running correctly, you need to establish what has changed on your system to prevent the software running correctly. This is not a problem with the FACSIMILE software, and you will have to contact your IT department to fix the issue.
If the problem is just with your model it suggests that the model is corrupted in some way. Maybe this could be fixed by retrieving a previous copy from backup.
You could also try this:
1. Look in your model folder you will find there is a file with an extension .fpf (so if your model is mymodel.fac there will also be a file mymodel.fpf ).
2. Move this file to a different folder.
3. Try opening your model in FACSIMILE.
If your model now runs, we would suggest you carry out the out the procedure to set the FACSIMILE.
If you are still having problems, send a copy of the model to support and we will try it on our system.
Hello.fac
EXECUTE OPEN 8 "hello.out" ;
COMPILE INSTANT;
WRITE 1=8,"Hello. This is my world!" %;
**;
STOP;
LOG FILES
"It appears that the log file is showing the log from a previous run"
The way FACSIMILE works is as follows:
The user interface takes care of editing, initiating model runs and viewing results. The actual simulation is carried out by a separate executable, the FACSIMILE engine. The user interface hands control to the engine to carry out the simulation, and the interface resumes control when the process completes. The engine simply reads the plain text model file to carry out the simulation - it has no concept of previous versions, and if you have saved your edits to your model file that is what it runs. The engine also writes out the log file, overwriting any log from previous runs.
The most likely scenario which gives the impression of "running a previous model", is that mods to the model file have caused the integration engine to crash before it opens the log file, thus leaving the log from a previous successful run behind. You can check this by inspecting the date/time stamp on the log file, but the easiest way is to delete the log file before you start a run.
Other issues which may be causing you problems are:
A) Copying the model to different location.
If you do this you should only copy the file with the extension ".fac". In particular if you copy the ".fpf" file, you may not be editing the model file you are running, as this file contains path information and parameters for the engine which refer to the original location of the model.
B) Log appears in the output file.
FACSIMILE uses the lower unit numbers for i/o. It uses unit 6 for outputting the log file. You should not use unit numbers below 8 for user output. It may be use of lower unit numbers which is causing the integration engine to crash.
READ INSTRUCTION
"Help me with text rules for the input files"
The way FACSIMILE works is as follows:
The user interface takes care of editing, initiating model runs and viewing results. The actual simulation is carried out by a separate executable, the FACSIMILE engine. The user interface hands control to the engine to carry out the simulation, and the interface resumes control when the process completes. The engine simply reads the plain text model file to carry out the simulation - it has no concept of previous versions, and if you have saved your edits to your model file that is what it runs. The engine also writes out the log file, overwriting any log from previous runs.
The most likely scenario which gives the impression of "running a previous model", is that mods to the model file have caused the integration engine to crash before it opens the log file, thus leaving the log from a previous successful run behind. You can check this by inspecting the date/time stamp on the log file, but the easiest way is to delete the log file before you start a run.
Other issues which may be causing you problems are:
A) Copying the model to different location.
If you do this you should only copy the file with the extension ".fac". In particular if you copy the ".fpf" file, you may not be editing the model file you are running, as this file contains path information and parameters for the engine which refer to the original location of the model.
B) Log appears in the output file.
FACSIMILE uses the lower unit numbers for i/o. It uses unit 6 for outputting the log file. You should not use unit numbers below 8 for user output. It may be use of lower unit numbers which is causing the integration engine to crash.
FACSIMILE FUNCTION NAMES
"I am having problems with my function names"
If you are trying to use FACSIMILE Function names as VARIABLES or PARAMETERS, then his will give an error in your log file.
A common misuse is the function "Abs".
You can find a list of FACSIMILE names in Appendix B of the User Guide.
DATA FITTING
"Our data values seem wrong"
If your model is accurate and the initial value is a good approximation, you should get the best fit for that parameter. If the value you get is not what you expected, either:
a) There are problems with the accuracy of your model.
b) The output is not tightly dependent on the selected fitting parameters.
c) There are several mathematically correct solutions in close proximity, and you are getting the “wrong” minima. You can sometimes correct this by changing the number and order of the fitted parameters. The error tolerance also effects when the minima is found.
Fitting Multiple Parameters:
Trying to fit multiple parameters does not make sense numerically, and the fitting routines were not designed to do that. If you really want to fit more parameters you can manually edit the model file to include extra parameters. If you inspect the model you will see a line after the data block of the form:
VARY aaa bbb ccc ;
(where aaa bbb ccc are parameter names).
You can add extra parameters to this list separated by spaces. Remember a line in FACSIMILE can not be greater than 72 characters long.
There is no guarantee that a solution can be computed and there is certainly no guarantee that a solution will be unique or relevant.
DIFFUSION IN 2 DIMENSIONS
"How can I write a model with diffusion in 2 or 3 dimensions?"
This is accomplished relatively easily in FACSIMILE. However, it does require complex code and a detailed understanding of the FACSIMILE language. The relevant Chapters in the "FACSIMILE Language User Manual" (this the file Uguide.pdf which you will find in your FACSIMILE folder) are:
Chapter 10: Array Code
Chapter 15: Solving Partial Differential Equations
(You may also find these chapters useful for setting up your model)
Chapter 9: Integers, Expressions and Functions.
Chapter 11: Indices and DO loops.
Chapter 13: Controlling Execution Flow within Routines
Basically you specify your VARIABLES as arrays. This has the effect of setting up a separate copy of your chemistry in each of the cells corresponding to elements of your array. You control movement of species between the cells using the TRANSPORT instruction.
FACSIMILE has a special ARRAY instruction which allows the integration to be carried out in each cell without having to specify each individual cell.
For example. You specify each of your reactants in a 6x6 array (to correspond to the cells in a 3x2 matrix).
So (for example):
VARIABLE <5,5> A B C ;
(Note: FACSIMILE array indices start at zero so the 6 elements are numbered 0 to 5)
The pipe model "pipe.fac" describes how to construct a model which uses diffusion.
Although this is modelling flow and diffusion down a pipe, it should show (in conjunction with the references above) how to set up your model. Your TRANSPORT instructions would be 2-dimensional, but would not include the velocity component. So (assuming diffusion rate is the same in all directions) of the form:
TRANSPORT<5,5> Df Df Df Df;
where Df is the diffusion term.
FACSIMILE GUIDES
"How can we find the Facsimile manuals ?"
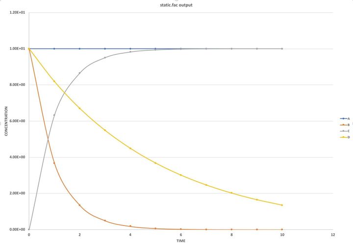
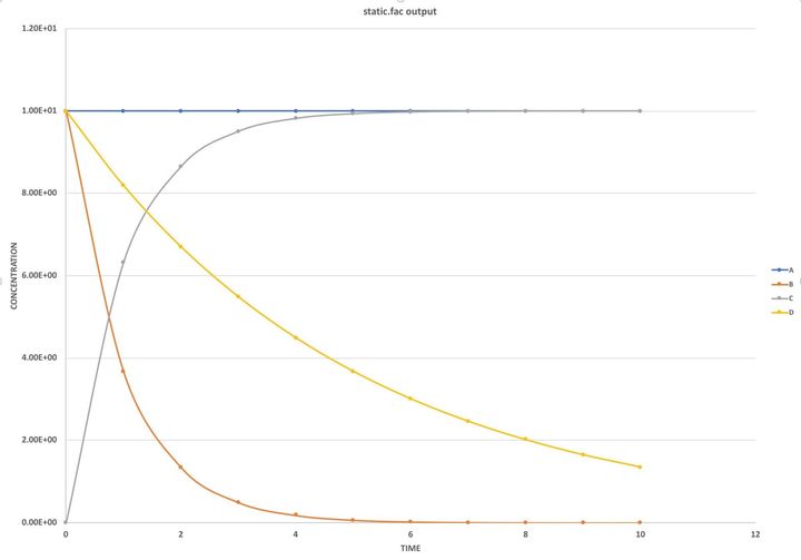
VARIABLE VALUES
"How do I keep the value of a variable constant in an equation, for perhaps if I want to simulate a catalyst ?"
The easiest way to do this is to define the reactant as a parameter (rather than a VARIABLE). It’s value will then be unchanged.
This is illustrated by the simple model below, "static.fac". In this model the component A
remains constant even though it is consumed in the first reaction and created in the second.
static.fac
EXECUTE OPEN 8 "static.txt";
PARAMETER
A 10
r1 0.1
r2 0.2
;
VARIABLE B 10
C
D 10 ;
COMPILE EQUATIONS;
% r1 : A + B = C;
% r2 : D = A;
**;
SETPSTREAM 1 8 ;
TIME A. B C D;
**;
COMPILE OUT;
PSTREAM 1;
**;
WHENEVER
TIME= 11 * (+1.0) 0 % CALL OUT;
**;
BEGIN;
STOP;
LOG FILE MESSAGES
"There are messages in the log file such as 'names table full' - how to correct this ?"
User reports log file contains message such as Names table full.
Error may refer to NPARS, NINTS, NCODE, NAMES, NTEXT , MATSZ, NCURV, NVARY , NOBSM, NPTTN.
Solve this by setting the workspace setting to a larger value, and to do this follow these instructions:
* Load the model into FACSIMILE.
* From the Options menu select "Modify Project Profile".
* Select the "Workspace Sizes" tab and, as a precaution, make a note of the settings on this tab.
* In "Stored Workspace Set", click the down arrow to show the list and select "Large Models"
* Click [Load settings from Workspace Set]
* Click [Apply]
Next:
* From the Options menu select "Advanced".
* Select FACSIMILE Engines
* Ensure the "Compaq" radio button is selected in the FACSIMILE Engine box.
* Ensure the "Large" radio button is selected in the FACSIMILE Engine Size box
* Click OK
This error can also be caused by bad coding of the model.
TAB CHARACTER
"There are issues when I use the tab character in the model "




